
什么是期權價格?期權價格計算方法是什么?期權的價格是在交易所內通過公開叫價而決定的,目前被市場所接受的定價模型為布萊克-休斯(Black-Scholes)期權定價模型。該模型其實是一種數學模型。該模型想要成功,需要以下的基本假設。
1.金融資產價格服從對數正態分布,而金融資產收益率服從正態分布;
2.在期權有效期內,無風險利率和金融資產收益變量是恒定的;
3.市場無摩擦,即不存在稅收和交易成本;
4.金融資產在期權有效期內無紅利及其它所得;
5.該期權是歐式期權,即在期權到期前不可執行;
6.市場上無套利機會;
7.任何時候都能以無風險利率借入和借出任意數量的現金;
8.任何時候都能夠買入和賣空任意數量的標的資產。
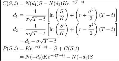
模型

Ln:自然對數;
C:認購期權價格;
P:認沽期權價格;
K:期權行權價格;
S:標的資產價格;
T-t:期權距離到期時間;
r:連續復利計無風險利率;
σ:標的資產收益率的年化標準差;
N():正態分布變量的累積概率分布函數。
在實際運用過程中,小散僅需將公式的五種定價因素的數據輸入電腦軟件,便可以直接取得相應期權的理論價格www.belovediy.com。這五個定價變量為:
(1)期權的到期時間;
(2)標的物的價格;
(3)期權的執行價格;
(4)持有成本(利率、股票股息等);
(5)標的物的價格波動率。
總結為:期權價格=內在價值+時間價值

以上就是有關期權價格的計算方式的介紹,相信大家對于期權已經有了一個基本的了解,如果想要學習更多知識,請關注基本分析欄目!最后祝大家投資順利!
推薦閱讀:盤口語言實戰技巧
上一篇:帶你全面了解個股期權交割方
下一篇:個股期權合約單位是什么 期
經營性網站備案信息
中國互聯網違法和不良信息舉報中心
本站帶寬由
河南網絡
網絡 110
服務中心:鄭州市金水區農業路經三路
郵編:450002 網址:www.belovediy.com
銷售熱線:0371-65350319
技術支持:13333833889