個股期權中的買權價格對很小的波動率的變化的反映被稱為Vega,計算如下:

在上例中,Vega為$20.25,這意味著如果波動率變化0.01,買權價格將變化.$0.20(即$ 20.25 x 0.01)。如果波動率升至0.30,若再變化0.01,買權價格變化為$0.19。而如果波動率從0.11升至0.40,由Vega值計算出的買權價格變化幅度為$2.23(即520.25x0.11),而實際的買權價格則由$5.803升到$8.015,增幅為$2.21,可見Vega預測是較有效的。
不論期權的價值是實值還是虛值的,波動率變化是大是小,期權對于波動率的變化是很敏感的,而布萊克一斯科爾斯模型則默認期權有效期內波動率不變,在更為復雜的數理模型中考慮了這一因素。
到期時間
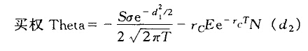
由于到期時間的臨近,期權的時間價值下降的價格下降。時間價值的消耗用Theta表示:

Theta值只有在時間變化幅度很小時才是有效的。
對于多個期權的組合,Delta, Gamma, Rho, Vega, Theta是其中每個期權相應指標值的加權平均,權重則為各期權價值在組合總值中的比率。當然,組合中也可以含有股票,只是股票的籌碼分布指標和這些指標值除了Delta為1以外,其余的都為零。
上一篇:影響期權價格的執行價格和無
下一篇:內含波動率下期權市場價格如
經營性網站備案信息
中國互聯網違法和不良信息舉報中心
本站帶寬由
河南網絡
網絡 110
服務中心:鄭州市金水區農業路經三路
郵編:450002 網址:www.belovediy.com
銷售熱線:0371-65350319
技術支持:13333833889